《黄帝内经》所深藏的奥秘•之六十二
(六十二)最近有些群友问我天上的明暗双势能场如何把天上的能量传给穴位里d电子上,使它对生命的演化过程起那么大的催化激活动力作用?
最近有些群友说,看了本公众号六十,六十一,比较理解了《内经》里说的<人地合一的说法>,但宇宙明暗双势能场,为什么也能给人以通天气能,使人身上的d电子对生命的演化过程起那么大的催化激活动力作用呢,对此还不能完全理解?
希望再给解读一下。
我想这个问题很早在<六个故事>里说过。从上世纪八九十年至本世纪初,钱老、朱光亚老师、王光美政协常委、冯理达院长、林佳媚主任(可能还在世)在世时,都非常关心人和天具体合一的问题。
在这方面,
一,当年钱老特别提到Tesla的963九宫宇宙数及舒曼的地外电磁波频(≈8Hz)和人脑波(≈8Hz)非常接近及气功,特异功能的存在。
二,冯理达院长的<外气>存在的许多实验事实。
三,北化大用人身上的十二正经奇经八脉之穴位数(Δ,即人对天的数)相关的参数Δr₂/r₁才能定量地解读三阳三阴顺序,而r₂/r₁只能解读阴开阖枢和阳开阖枢的事实。
四,宇宙存在两个高能势长,于是人类生命动力阴阳源精,可以通过d电子,吸纳宇宙的“天气”,人类可以获得通天气能!
五,建立中国自己的宇宙发生学。
六,为了更好地模拟宇宙起源,本人在全国政协以常委的身份提出了中国建世界第一流的正负电子对撞机的提案。这个提案通过许多专家的审议及中国科学院高能物理研究所的认可,获得了全国政协优秀提案奖。

这些,都说明了<天人合一>的存在。
大家从<6个故事>都看到过当年北化大生命动力研究中心如何在朱光亚老师和中科院高能物理所用正负电子撞击合成出比核子(p,n)大的粒子的启发下,解读了宇宙明暗双势能场形成的<宇宙发生学>。
现在看来有必要再次说说其中的奥秘了。
这个双势能场有下列核心内容:
如细考虑有下列几个阶段:
如同老子的看法一样,原始宇宙是由看不见摸不着的<空>,<无色>,但充满着类似如同煤气、亚麻粉尘、金属铝粉尘一样的看不见的电子<气>,即由含有大量正中微子的正电子和含有大量负中微子的负电子,都处于极高能状态,故可在宇宙大空间里互相撞击,其结果总有那么一个局部的正负电子撞击能,超过正负电子间聚变的活化能,即达到某一临界值以上,此时很像化学反应一样,引起聚变反应,放岀大量的聚合能量,这样如同上述粉尘一样,引起发宇宙空间的大爆炸反应,宇宙的到处发生正负电子群的热核聚变反应。

在宇宙空间到处出现微夸克(约68个电子群,由3×3×3=27个微夸克的组成质子(p),中子(n),并发出大量的正负中微子。
(相关内容:金日光教授:【《黄帝内经》漫谈•之五十八】钱老为什么说现代中医也要懂点<高能粒子物理学>?)


不断形成各种原子核的元素聚集的宇宙物质



宇宙双势能场的形成和不断地扩张
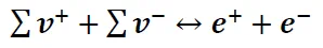
根据当代高能核物理学已知,正反中微子有下列反应:

由此可得:

左侧的正负中微子形成宇宙暗势中微子能量场,右侧形成宇宙的明势电磁能场
p(活性质子)→n+e++v+
n(活性中子)→p+e-+v-
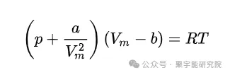
这些过程,完全可以比喻为物理化学里范德华尔非理想气体(有吸引力和排斥力,1克分子含有6.02×1023粒子)的模式,在空间上形成各种各样的无数种聚集方式的垣星,类银河类星系及太阳系和周围水金地火木土星等行星。
非理想气体的状态方程:

与此同时出现明暗双场,其中明势以电磁场为主体,以光速作为传播速度,而暗势中微子场以超光速作为传播速度,在这种高能态情况下,不能论爱因斯坦的相对论了!
这是我们要说的重点。
大家都知道d轨道上的d电子,其最大特点是在化学反应中,不像s,p电子一样,随便离开自身的原子,而在原子核外保有很强的磁矩,且能借助于周围金字塔结构聚焦宇能,大量地吸纳宇宙双势能场提供的电磁型光子和中微子能量,然后把高能量辐射到周围生命化学演化反应里,从而大大降低反应活化能,最终起着催化激活动力作用!

这只是一个方面的作用。
更有意想不到的事情是,在金字塔的聚能作用下,不仅原子核的电子吸纳负中微子宇能,而且连原子核也吸纳正中微子能量,这样整个原子核处于高能状态,引起原子核裂变或原子核之间的冷核聚变,以至使在砭瓷金字塔顶存放的水中的元素相对含量都大变!(见联合国画刊LINFP2015,7月号,P20~25)。


这样大家就不难想到我们人体里有约70%的水,与体内生命动力源的阴阳离子形成上下一对金字塔的络合结构,所以我们人身上必然也有冷核聚变反应(何沛平教授通过大量的实验,也100%地证实动植物也存在着冷核聚变反应),形成人所需要的生命元素!
所有这一切,就追根到底是d电子作怪!
难怪,当年钱老、朱光亚老师、冯院长都觉得d电子是真正的<生命电子>!
而钱老还延伸说,f轨道电子是<高科技电子>!
今天先说到此。
常州《黄帝内经》当代科学解读馆
主持人:金日光
2024年4月16日


