增设21种新专业!本科专业目录更新→_世界华人报 
今天是:
简体中文 繁體中文 English

增设21种新专业!本科专业目录更新→

来源:人民网  供稿 更新时间:2023-04-19 23:33:57 点击数:
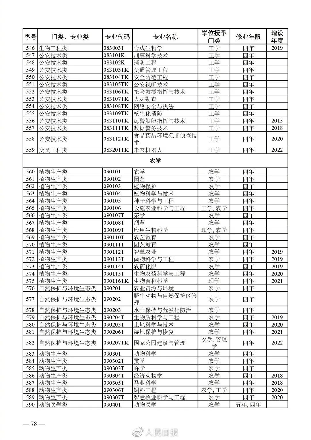
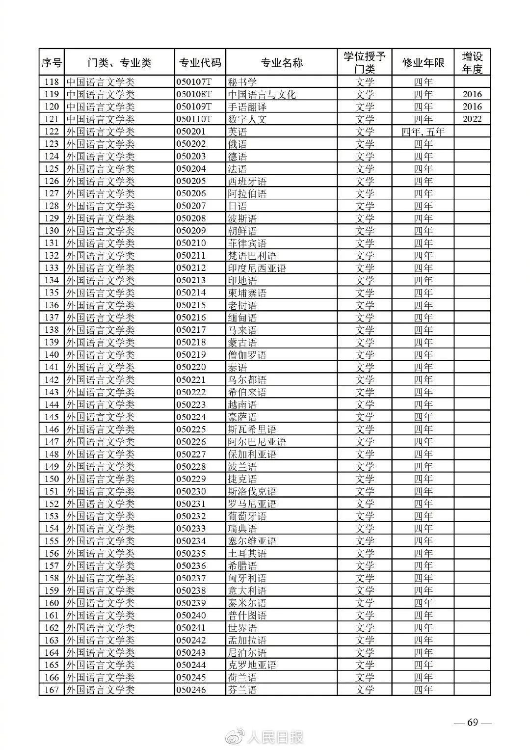
       日前,教育部公布了2022年度普通高等学校本科专业备案和审批结果,新增备案专业1641个、审批专业176个(含150个国家控制布点专业和21种、26个目录外新专业),调整学位授予门类或修业年限专业点62个。本次备案、审批和调整的专业,将列入相关高校2023年本科招生计划。另对部分高校申请撤销的925个专业点予以备案。

       教育部积极引导高校开设国家战略和区域发展急需的相关专业,此次新增了地球系统科学、生物统计学、未来机器人、安全生产监管、国家公园建设与管理、医工学、乡村治理、家庭教育、无障碍管理等21种新专业,并正式纳入《普通高等学校本科专业目录》。为支持高校积极探索推进学科专业交叉融合,培养复合型拔尖创新人才,首次在工学门类下增设交叉工程专业类。截至目前,本科专业目录共包含93个专业类、792种专业。

       据统计,此次专业增设、撤销、调整共涉及2800余个专业布点,占目前专业布点总数的4.5%。从学科门类看,工学所涉专业数量最多,有1074个;从区域布局看,涉及中西部高校的专业有1503个,占比超过50%。本科专业类型结构和区域布局结构进一步优化,高校主动服务经济社会发展的意识和能力进一步增强。

25.jpg

26.jpg

27.jpg

28.jpg

29.jpg

30.jpg

31.jpg

32.jpg

33.jpg

34.jpg

35.jpg

36.jpg

37.jpg

38.jpg

39.jpg

40.jpg

41.jpg

42.jpg


你对哪个专业感兴趣?

来源|教育部网站,图片:@人民日报
【责任编辑:华人报编辑员】